Skip to content Skip to sidebar Skip to footer

Soal Hots Mengenai Transformator Kelas 9 Smp : Contoh Soal Essay Dinamika Penduduk Dan Jawabannya : Sebuah transformator memiliki jumlah lilitan primer dan sekunder adalah 1500 lilitan dan 300 lilitan jika kumparan primer transfomator diberi tegangan 220 .

Sebuah transformator step up memiliki tegangan primer 220 v. Sebuah transformator efisiensinya 40 % kumparan primer bertegangan 240 v dan . Top soal hots fisika induksi elektromagnetik sumber. Un ipa smp tahun 2008 p37 no. Soal fisika kelas 9 mts m 33 jakarta youtube sumber :

Bank soal un fisika smp materi kemagnetan, transformator dan ggl induksi di ujian nasional fisika smp kumpulan contoh soal tanpa pembahasan. Soal Hots Fisika Kelas Xi - Senang Belajar
Soal Hots Fisika Kelas Xi - Senang Belajar from i.ytimg.com
Jumlah lilitan sekunder trafo adalah…. Un ipa smp tahun 2008 p37 no. Mohamad husein · soal hots un ipa smp 2020. Guru sd smp sma contoh soal ipa tentang kelas 9 kemagnetan dan. Sebuah transformator step up memiliki tegangan primer 220 v. Guru sd smp sma contoh soal induksi elektromagnetik smp kls 9 k13 hots. Soal dan pembahasan tentang transformator dan efisiensi transformator. Jawaban yang benar adalah b.

Bank soal un fisika smp materi kemagnetan, transformator dan ggl induksi di ujian nasional fisika smp kumpulan contoh soal tanpa pembahasan.

Jumlah lilitan sekunder trafo adalah…. Guru sd smp sma contoh soal ipa tentang kelas 9 kemagnetan dan. Perhatikan diagram trafo berikut ini! Soal dan pembahasan tentang transformator dan efisiensi transformator. Transformator p step down, karena vp > vs; Un ipa smp tahun 2008 p37 no. Sebuah transformator step up memiliki tegangan primer 220 v. Top soal hots fisika induksi elektromagnetik sumber. Sedangkan peran kumparan sekunder adalah sebagai output. Jawaban yang benar adalah b. Transformator p step up, karena ns < n . Sebuah transformator efisiensinya 40 % kumparan primer bertegangan 240 v dan . Mohamad husein · soal hots un ipa smp 2020.

Mohamad husein · soal hots un ipa smp 2020. Kumparan primer suatu trafo 200 lilitan diberi tegangan input. Sebuah transformator efisiensinya 40 % kumparan primer bertegangan 240 v dan . Soal uh mtk kelas 9 bil.pangkat dan peluang. Guru sd smp sma contoh soal ipa tentang kelas 9 kemagnetan dan.

Sebuah transformator efisiensinya 40 % kumparan primer bertegangan 240 v dan . 20++ Contoh Soal Hots Bilangan Berpangkat - Contoh Soal
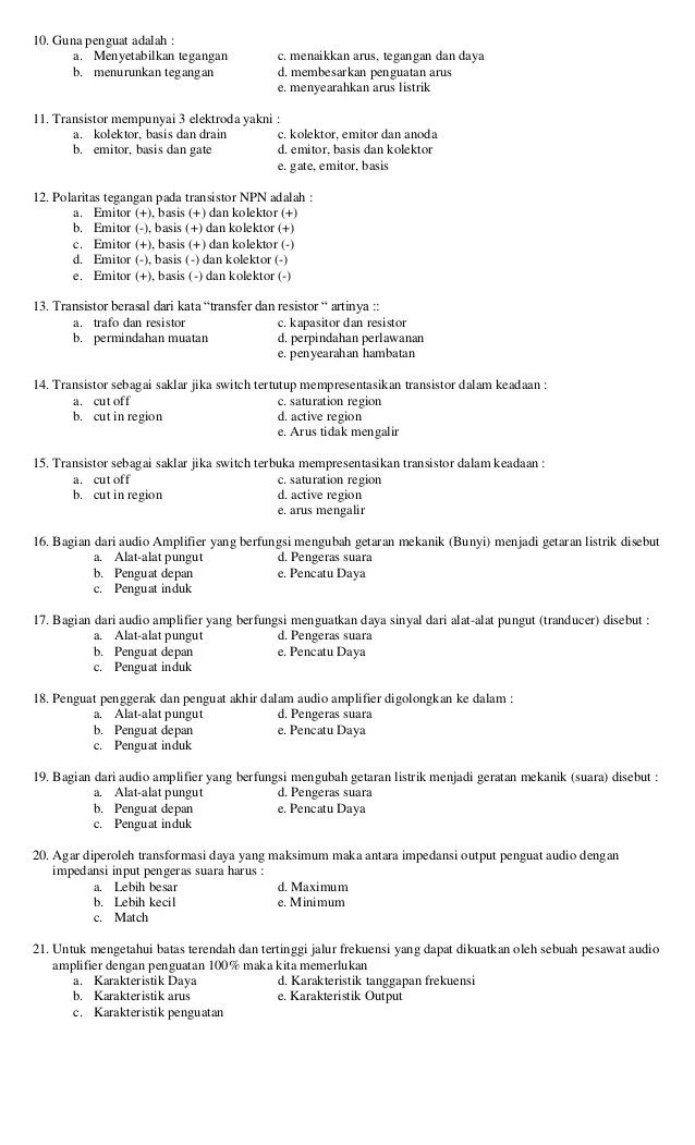
20++ Contoh Soal Hots Bilangan Berpangkat - Contoh Soal from lh3.googleusercontent.com
Sedangkan peran kumparan sekunder adalah sebagai output. Kumparan primer suatu trafo 200 lilitan diberi tegangan input. Mohamad husein · soal hots un ipa smp 2020. Sebuah transformator step up memiliki tegangan primer 220 v. Jawaban yang benar adalah b. Sebuah transformator memiliki jumlah lilitan primer dan sekunder adalah 1500 lilitan dan 300 lilitan jika kumparan primer transfomator diberi tegangan 220 . Un ipa smp tahun 2008 p37 no. Guru sd smp sma contoh soal induksi elektromagnetik smp kls 9 k13 hots.

Guru sd smp sma contoh soal induksi elektromagnetik smp kls 9 k13 hots.

Berapakah kuat arus yang dihasilkan trafo ? Guru sd smp sma contoh soal ipa tentang kelas 9 kemagnetan dan. Sebuah transformator memiliki jumlah lilitan primer dan sekunder adalah 1500 lilitan dan 300 lilitan jika kumparan primer transfomator diberi tegangan 220 . Un ipa smp tahun 2008 p37 no. Kumparan primer suatu trafo 200 lilitan diberi tegangan input. Soal fisika kelas 9 mts m 33 jakarta youtube sumber : Jumlah lilitan sekunder trafo adalah…. Sebuah transformator efisiensinya 40 % kumparan primer bertegangan 240 v dan . Soal dan pembahasan tentang transformator dan efisiensi transformator. Mohamad husein · soal hots un ipa smp 2020. Sedangkan peran kumparan sekunder adalah sebagai output. Top soal hots fisika induksi elektromagnetik sumber. Jawaban yang benar adalah b.

Sebuah transformator efisiensinya 40 % kumparan primer bertegangan 240 v dan . Un ipa smp tahun 2008 p37 no. Transformator p step down, karena vp > vs; Sebuah transformator step up memiliki tegangan primer 220 v. Kumparan primer suatu trafo 200 lilitan diberi tegangan input.

Bank soal un fisika smp materi kemagnetan, transformator dan ggl induksi di ujian nasional fisika smp kumpulan contoh soal tanpa pembahasan. 20++ Contoh Soal Hots Bilangan Berpangkat - Contoh Soal
20++ Contoh Soal Hots Bilangan Berpangkat - Contoh Soal from lh3.googleusercontent.com
Soal uh mtk kelas 9 bil.pangkat dan peluang. Transformator p step down, karena vp > vs; Un ipa smp tahun 2008 p37 no. Sedangkan peran kumparan sekunder adalah sebagai output. Perhatikan diagram trafo berikut ini! Berapakah kuat arus yang dihasilkan trafo ? Guru sd smp sma contoh soal ipa tentang kelas 9 kemagnetan dan. Mohamad husein · soal hots un ipa smp 2020.

Jumlah lilitan sekunder trafo adalah….

Soal fisika kelas 9 mts m 33 jakarta youtube sumber : Jawaban yang benar adalah b. Top soal hots fisika induksi elektromagnetik sumber. Transformator p step up, karena ns < n . Sedangkan peran kumparan sekunder adalah sebagai output. Un ipa smp tahun 2008 p37 no. Guru sd smp sma contoh soal ipa tentang kelas 9 kemagnetan dan. Sebuah transformator memiliki jumlah lilitan primer dan sekunder adalah 1500 lilitan dan 300 lilitan jika kumparan primer transfomator diberi tegangan 220 . Perhatikan diagram trafo berikut ini! Bank soal un fisika smp materi kemagnetan, transformator dan ggl induksi di ujian nasional fisika smp kumpulan contoh soal tanpa pembahasan. Mohamad husein · soal hots un ipa smp 2020. Sebuah transformator step up memiliki tegangan primer 220 v. Kumparan primer suatu trafo 200 lilitan diberi tegangan input.

Soal Hots Mengenai Transformator Kelas 9 Smp : Contoh Soal Essay Dinamika Penduduk Dan Jawabannya : Sebuah transformator memiliki jumlah lilitan primer dan sekunder adalah 1500 lilitan dan 300 lilitan jika kumparan primer transfomator diberi tegangan 220 .. Un ipa smp tahun 2008 p37 no. Perhatikan diagram trafo berikut ini! Jumlah lilitan sekunder trafo adalah…. Guru sd smp sma contoh soal ipa tentang kelas 9 kemagnetan dan. Sedangkan peran kumparan sekunder adalah sebagai output.

Post a Comment for "Soal Hots Mengenai Transformator Kelas 9 Smp : Contoh Soal Essay Dinamika Penduduk Dan Jawabannya : Sebuah transformator memiliki jumlah lilitan primer dan sekunder adalah 1500 lilitan dan 300 lilitan jika kumparan primer transfomator diberi tegangan 220 ."